小行星撞击地球大气层通常只考虑两种主要模式,即空爆和撞击地表。空爆使得小行星能量在极短时间内快速释放,可能带来大规模冲击波损伤。小行星撞击地球的角度最可能分布在45°左右,同时存在一部分以小角度(<10°)撞击地球的小行星,通常称为掠地小行星(Earth-grazing asteroid)。

图1 2017年澳大利亚上空出现的掠地火流星长曝光图片 (来源:arXiv:1912.01895 [astro-ph.EP])
中国科学院国家空间科学中心复杂航天系统电子信息技术院重点实验室博士生耿淑娟、周炳红研究员和李明涛研究员对掠地小行星的撞击地球模式展开了深入研究。该研究首次揭示了小尺寸小行星撞击地球的五种模式,分析了捕获撞击模式的参数空间变化规律,并对捕获撞击的潜在危害模式进行了探讨。
掠地小行星进入大气时的撞击角较小,这使得此类小行星的撞击模式更加多样。小角度撞击模式包括逃逸、直接撞击、捕获撞击三类模式。逃逸即小行星短暂掠过地球大气层后逃逸;直接撞击与大角度撞击相一致;捕获撞击则指小行星被地球引力捕获,短暂成为绕地球运行的自然卫星并最终撞击地球。三类模式结合解体现象,进一步细分为五种撞击模式,即逃逸、捕获撞击并解体、捕获撞击不解体、直接撞击并解体、直接撞击不解体。

图2 逃逸、捕获撞击、直接撞击示意图(其中,捕获撞击与直接撞击又各分为解体与不解体两种模式)
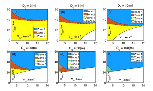
小角度撞击概率相对较小,捕获撞击作为其中一种撞击模式,其概率更小,但仍有可能。为探究捕获撞击的参数空间,科研人员对2m、5m、10m、20m、50m、100m直径掠地小行星的进入大气过程进行了仿真分析。发现捕获撞击的参数空间对进入速度较为敏感,且参数空间随小行星进入速度的增加而缩小;对于百米直径以下的小行星,直径越大的小行星越易解体,解体使捕获撞击的参数空间进一步缩小,使部分原本可能飞出大气层并被地球短暂捕获的小行星在初次进入时即发生了解体现象。

图3 不同直径下五种撞击模式的参数分布(区域1-5分别表示逃逸、捕获撞击不解体、捕获撞击解体、直接撞击不解体、直接撞击解体)
捕获撞击的小行星,其轨道特性也随进入速度和近地点高度的变化呈现出特定规律。捕获撞击的小行星可能绕地球运行多圈,即多次进入大气层,并最终解体或落到地表。

图4 不同参数条件下的捕获撞击轨迹示意图
捕获撞击模式对撞击效应有重要影响,主要体现在两方面:首先,由于能量和速度、质量的损耗,被捕获的小尺寸小行星在最后一次撞击时规模会小于直接撞击的小尺寸小行星,且被捕获的小行星更有可能落到地表,此时需考虑地震和撞击成坑效应。此外,较长的地面航程也增加了轨迹和落点预测的不确定性,也将更难确定撞击区域的确切位置。
此外,由于捕获小行星可能绕地球多圈,造成多次火球撞击事件;每次进入时,都可能伴随冲击波,且最低点可深入到30到35km,这与车里雅宾斯克事件空爆的高度(~30km)相当。即临时捕获的小卫星很可能会在不同时间、在全球各地造成多次爆炸性冲击事件。
该研究成果对小行星大气进入轨迹与撞击区域预测及潜在危害评估具有参考价值,以“On the capture of small stony asteroids into the Earth’s orbit by atmospheric grazing”为题,于2021年8月30日发表于天文领域国际知名期刊Monthly Notices of Royal Astronomical Society。审稿人评价:“I very much like and enjoyed this paper and support its publication - I look forward to seeing the authors future research on this topic(我非常喜欢和享受这篇文章并支持出版,期待看到作者关于这个主题的未来研究成果)”
该成果得到北京市重大科技专项、民用航天和近地小行星相关项目、空间中心重点培育方向等课题资助。
参考文献:Shujuan Geng, Binghong Zhou, Mingtao Li, On the capture of small stony asteroids into the Earth's orbit by atmospheric grazing, Monthly Notices of the Royal Astronomical Society, Volume 507, Issue 3, November 2021, Pages 4661–4668
论文链接:https://doi.org/10.1093/mnras/stab2439
(供稿:系统室)