太阳风的起源和加速是太阳和空间物理悬而未决的重大科学问题。作为人类首颗直接进入太阳大气观测的卫星,帕克太阳探测器(Parker Solar Probe,简称“PSP”)卫星提供了前所未有的观测年轻太阳风的机会。声速临界点是太阳风由亚声速转变为超声速的位置,是太阳风加速的关键区域,一般认为该临界点离日心几个太阳半径。中国科学院国家空间科学中心(以下简称“空间中心”)太阳活动与空间天气重点实验室刘颍研究员等人(2024)报道了首次PSP对声速临界点处日冕的直接就地测量,此次观测指出声速临界点惊人地高,离日心约为15个太阳半径。随着PSP进入日冕更深的位置,研究并确认近亚声速太阳风区间的起源和特性具有非常重要的意义。
刘颍研究员课题组从已有的PSP观测中,鉴定出所有的近亚声速太阳风区间,对相关区间的起源和性质进行了综合研究。其中PSP在第10轨的观测可能代表了对近亚声速太阳风最早的就地测量(见图1)。在第10轨的近亚声速区间中,径向磁场非常光滑,磁力线回转现象(switchback)几乎完全消失。比起周围的超声速但亚阿尔芬太阳风与超阿尔芬太阳风,近亚声速区间具有更小的磁场偏转角和径向速度起伏(除以当地的阿尔芬速度),这些磁场偏转角本质上是背景帕克螺旋的角度。近亚声速区间中有极低的速度、极低的密度、以及极低的质子温度,可能表明PSP正在采样冕洞的外围区域。由于声速基本保持不变,因此声速临界点的穿越主要归因于极低的太阳风速度。

图1: PSP在第10轨观测到的近亚声速太阳风区间
表1给出了所有的近亚声速区间以及它们相关的物理参数。研究发现,目前观测到的所有的近亚声速太阳风区间具有共同的特征,包括极低的密度(平均约2.4 cm-3)、极低的速度(平均约120 km s-1)、极低的质子温度(平均约2×105 K)、以及磁场偏转几乎完全消失(磁场偏转角本质上是背景帕克螺旋角度)。通过对这些近亚声速太阳风区间进行溯源,研究团队发现它们在太阳上的源区位于冕洞边界,或者是面积很小的冕洞。上述的起源和特征符合刘颍研究员等人(2023)提出的低马赫数边界层(LMBL)概念。LMBL具有快速发散的磁力线,可以解释近亚声速太阳风中的低速度,而LMBL位于冕洞的外围区域这一条件可以解释观测到的低密度。值得注意的是,我们观测到的近亚声速太阳风区间主要位于15 - 20个太阳半径。而一般认为,声速临界点位于距离日心2 - 5个太阳半径处。这表明研究团队观测到的近亚声速太阳风是一种特殊类型的太阳风,可以被视为声速临界面向外的“突起”结构。

表1:PSP观测到的近亚声速区间及其特征
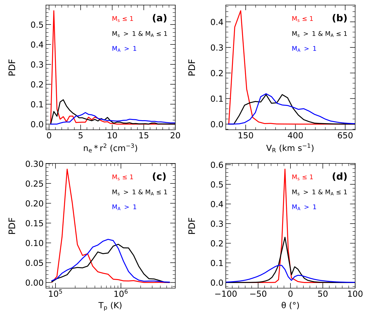
图2给出了一些关键参数(密度、速度、温度和磁场)的分布,从图中可以看出近亚声速太阳风与超声速但亚阿尔芬太阳风、以及超阿尔芬太阳风之间性质的差别。超阿尔芬太阳风具有比超声速但亚阿尔芬太阳风更高的密度和速度。近亚声速太阳风区间具有最低的速度,这一特点可以由其起源(即LMBL)来解释。超阿尔芬太阳风具有比超声速但亚阿尔芬太阳风更低的温度,这一现象可以被解释为太阳风由于膨胀而冷却。令人惊讶的是,近亚声速太阳风具有最低的温度,这可能表明近亚声速太阳风的加热仍然不充分。对于磁场来说,磁场正负偏转角分布的不对称性来自于背景帕克螺旋磁场。可以看到随着近亚声速太阳风逐渐演化为超声速但亚阿尔芬太阳风、以及超阿尔芬太阳风,磁场偏转角向更大的值偏移并形成更宽的分布。这一结果表明磁力线回转现象(switchback)的振幅依赖于径向声速马赫数或者径向阿尔芬马赫数。

图2:太阳风在不同阶段的密度、速度、温度和磁场偏转角的分布
研究团队进一步研究发现,较大的磁场偏转角往往发生于较高的声速马赫数(见图3)。当声速马赫数接近1或小于1时,磁场偏转角非常小且有一个相对平坦的分布,这本质上是背景帕克螺旋的角度。此外,等离子体β值也非常小(约0.01),极低的β值表明磁场在低日冕中占据主导地位,从而使得磁力线不容易被大尺度MHD波所偏折。基于以上观测,研究团队认为磁力线回转现象(switchback)可能起源于声速临界点以上,符合刘颍研究员等人(2024)的结论。

图3:磁场偏转角和太阳风声速马赫数的关系
论文发表于《天体物理学报(The Astrophysical Journal)》,第一作者为空间中心研究生程文帅,通讯作者为刘颍研究员。该研究揭示了目前近亚声速太阳风具有共同的起源和特性,指出太阳风的声速临界点可发生于较远距离,对于理解年轻太阳风的特性及其起源和加速具有重要的意义。
Citation:
Wenshuai Cheng, Ying D. Liu, Hao Ran, Yiming Jiao,Michael L. Stevens, and Justin C. Kasper, Origin and Properties of the Near-subsonic Solar Wind Observed by Parker Solar Probe, 2024, The Astrophysical Journal, 967, 58 (https://iopscience.iop.org/article/10.3847/1538-4357/ad3b98)
(供稿:天气室)