当前位置:首页 > 新闻动态 > 科研动态

空间中心科研人员构建物理知识引导的深度学习太阳活动区磁分类模型

文章来源: | 发布时间:2026-04-24 | 【打印】【关闭】

太阳活动区是耀斑和日冕物质抛射等爆发活动的主要源区,其黑子群磁结构的复杂程度与耀斑发生概率密切相关,因此准确识别活动区磁类型是空间天气预报中的重要基础问题。

近日,中国科学院国家空间科学中心太阳活动与空间天气全国重点实验室预报中心团队将深度学习方法与太阳物理先验知识相结合,构建了太阳活动区磁类型识别模型ViT-CNN-R,进一步提升了自动识别活动区的磁类型能力。在该研究中,科研人员利用SDO/HMI磁图和黑子图作为双通道输入,通过Vision Transformer提取活动区磁结构的整体形态特征,通过卷积神经网络捕捉磁极分布和中性线等局部细节信息,同时将中性线区域的总无符号磁通量R值作为物理约束输入模型,从而在统一框架中融合全局结构、局部特征与物理信息,实现对太阳活动区磁类型的高精度自动识别。这种“数据驱动+物理约束”的方法不仅提高了模型识别能力,也增强了模型结果的物理可解释性。

图 1:太阳活动区磁类型识别VIT-CNN-R模型结构示意图

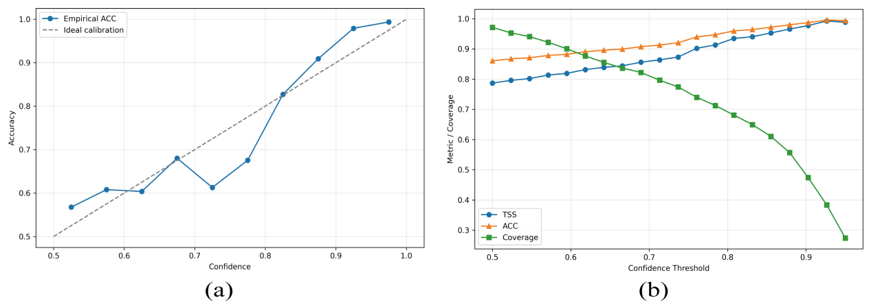
实验结果表明,该模型在Alpha、Beta和Beta-x三类活动区磁类型识别中均取得较高精度,整体分类准确率为0.846,TSS达到0.765;尤其是对复杂磁结构Beta-x型的识别准确率达到0.9,表现出明显优势。研究团队还利用我国夸父一号卫星(ASO-S)自主数据对模型进行了跨数据源测试,结果表明该模型仍保持较好的识别性能,特别是在复杂活动区中显示出良好的泛化能力,这为我国自主数据的应用与智能分析提供了有效技术支撑。

图 2: 模型置信度曲线,准确率随预测置信度的增加而持续提升

该研究发表于The Astrophysical Journal Supplement Series期刊,第一作者为空间中心特别研究助理李铭,通讯作者为空间中心王晶晶研究员。该研究得到了中国科学院战略先导专项、国家自然科学基金等项目的支持。

相关论文:Li, M., S. Liu, J. Wang, Y. Cui, B. Luo, and X. Wang (2026), A Physics-informed Deep Learning Model for the Magnetic Classification of Solar Active Regions, The Astrophysical Journal Supplement Series, 283(2), 44, doi:10.3847/1538-4365/ae4595.

(供稿:天气室)